Бесплатный решебник Яблонского: С.8 вариант 3

(Физика → Теоретическая механика → Решебник Яблонского → Система сил, не лежащих в одной плоскости)

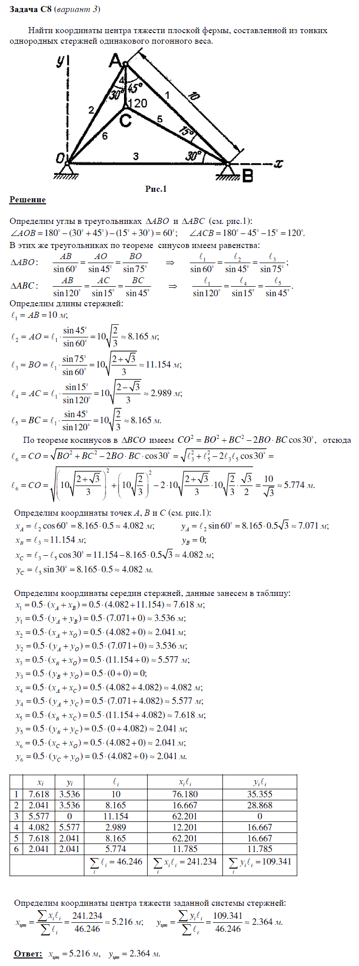
Задание С.8. Определение положения центра тяжести тела (к условию задания)

<< С.8 вариант 2 || С.8 вариант 4 >>

Решение задачи С8 В3

Яблонский С8 вариант 3