Бесплатный решебник Яблонского: К.5 вариант 19

(Физика → Теоретическая механика → Решебник Яблонского → Кинематика твердого тела)

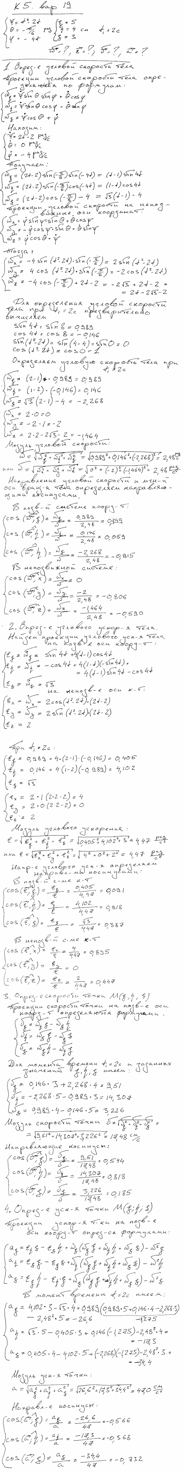
Задание К.5. Определение кинематических характеристик движения твердого тела и его точек по уравнениям Эйлера (к условию задания)

<< К.5 вариант 14 || К.5 вариант 20 >>

Решение задачи К5 В19

Яблонский К5 вариант 19