Бесплатный решебник Яблонского: К.6 вариант 30

(Физика → Теоретическая механика → Решебник Яблонского → Кинематика твердого тела)

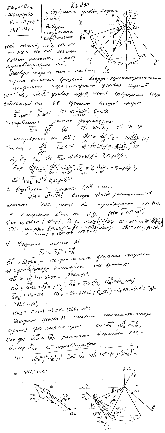
Задание К.6. Кинематический анализ движения твердого тела, катящегося без скольжения по неподвижной поверхности и имеющего неподвижную точку (к условию задания)

<< К.6 вариант 29 || К.7 вариант 1 >>

Решение задачи К6 В30

Яблонский К6 вариант 30