Бесплатный решебник Яблонского: Д.10 вариант 12

(Физика → Теоретическая механика → Решебник Яблонского → Динамика механической системы)

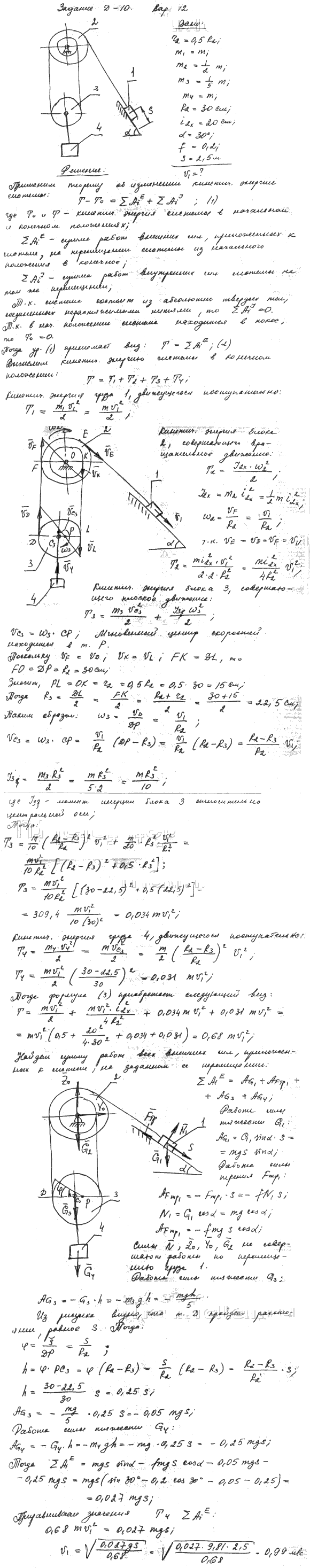
Задание Д.10. Применение теоремы об изменении кинетической энергии к изучению движения механической системы (к условию задания)

<< Д.10 вариант 11 || Д.10 вариант 13 >>

Решение задачи Д10 В12

Яблонский Д10 вариант 12