Бесплатный решебник Яблонского: Д.12 вариант 12

(Физика → Теоретическая механика → Решебник Яблонского → Динамика механической системы)

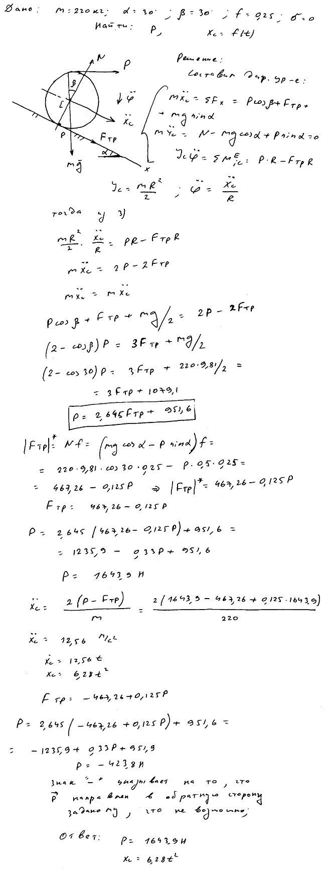
Задание Д.12. Исследование плоского движения твердого тела (к условию задания)

<< Д.12 вариант 11 || Д.12 вариант 13 >>

Решение задачи Д12 В12

Яблонский Д12 вариант 12