Бесплатный решебник Яблонского: Д.2 вариант 7

(Физика → Теоретическая механика → Решебник Яблонского → Динамика материальной точки)

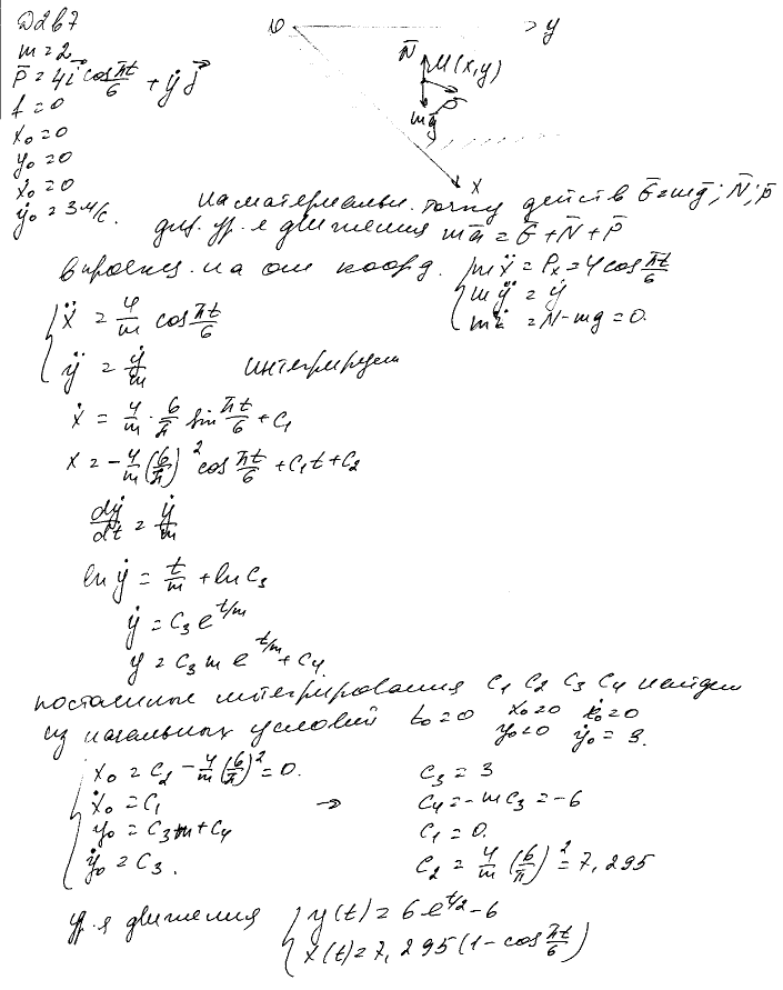
Задание Д.2. Интегрирование дифференциальных уравнений движения материальной точки, находящейся под действием переменных сил (к условию задания)

<< Д.2 вариант 6 || Д.2 вариант 8 >>

Решение задачи Д2 В7

Яблонский Д2 вариант 7