Бесплатный решебник Яблонского: Д.4 вариант 16

(Физика → Теоретическая механика → Решебник Яблонского → Динамика материальной точки)

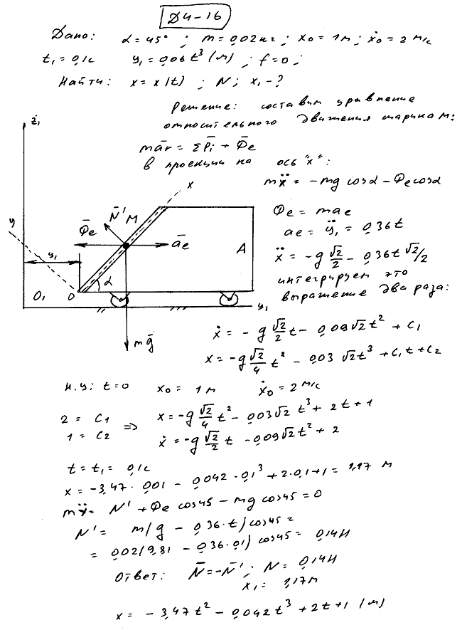
Задание Д.4. Исследование относительного движения материальной точки (к условию задания)

<< Д.4 вариант 15 || Д.4 вариант 17 >>

Решение задачи Д4 В16

Яблонский Д4 вариант 16