Бесплатный решебник Яблонского: Д.7 вариант 12

(Физика → Теоретическая механика → Решебник Яблонского → Динамика механической системы)

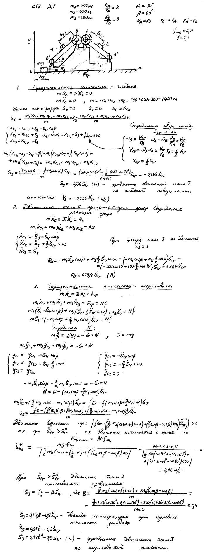
Задание Д.7. Применение теоремы о движении центра масс к исследованию движения механической системы (к условию задания)

<< Д.7 вариант 11 || Д.7 вариант 13 >>

Решение задачи Д7 В12

Яблонский Д7 вариант 12