Бесплатный решебник Яблонского: Д.17 вариант 10

(Физика → Теоретическая механика → Решебник Яблонского → Аналитическая механика)

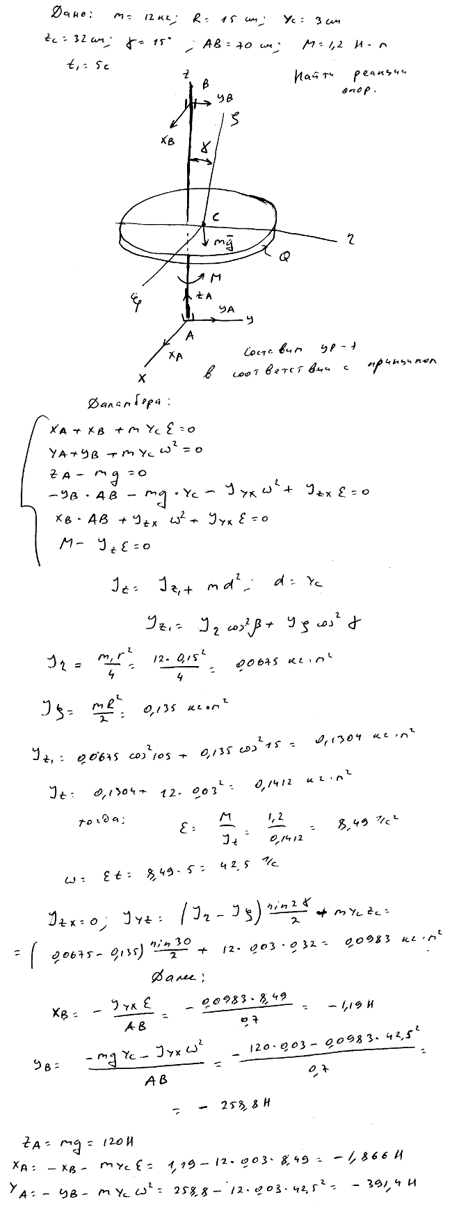
Задание Д.17. Определение реакций опор при вращении твердого тела вокруг неподвижной оси (к условию задания)

<< Д.17 вариант 8 || Д.17 вариант 11 >>

Решение задачи Д17 В10

Яблонский Д17 вариант 10