Бесплатный решебник Яблонского: Д.17 вариант 18

(Физика → Теоретическая механика → Решебник Яблонского → Аналитическая механика)

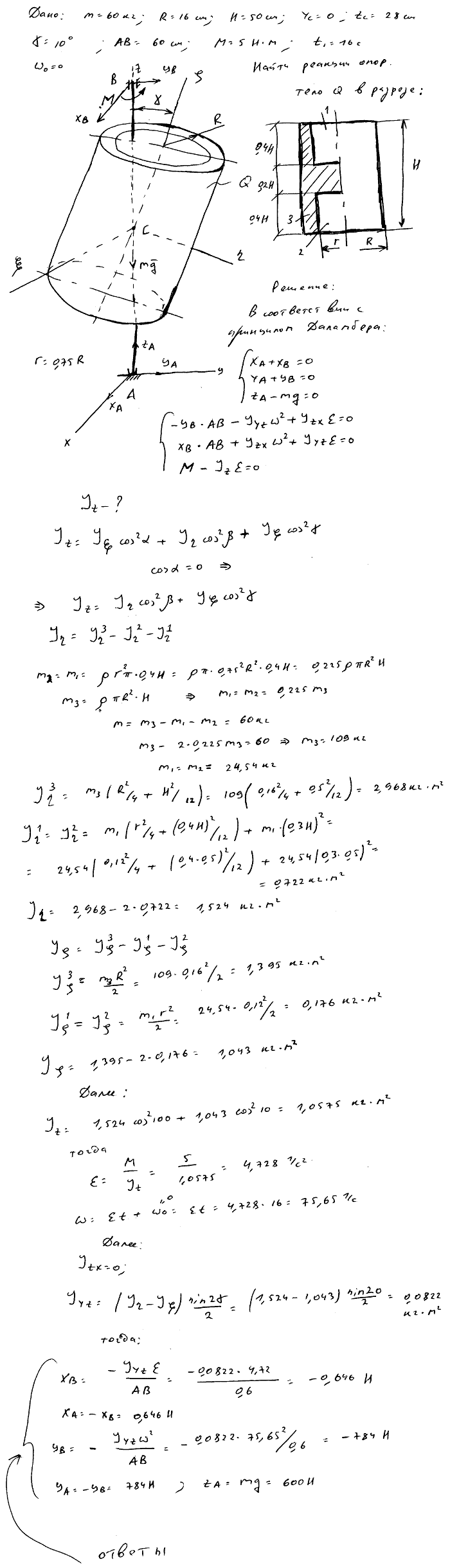
Задание Д.17. Определение реакций опор при вращении твердого тела вокруг неподвижной оси (к условию задания)

<< Д.17 вариант 17 || Д.17 вариант 20 >>

Решение задачи Д17 В18

Яблонский Д17 вариант 18