Бесплатный решебник Яблонского: Д.19 вариант 6

(Физика → Теоретическая механика → Решебник Яблонского → Аналитическая механика)

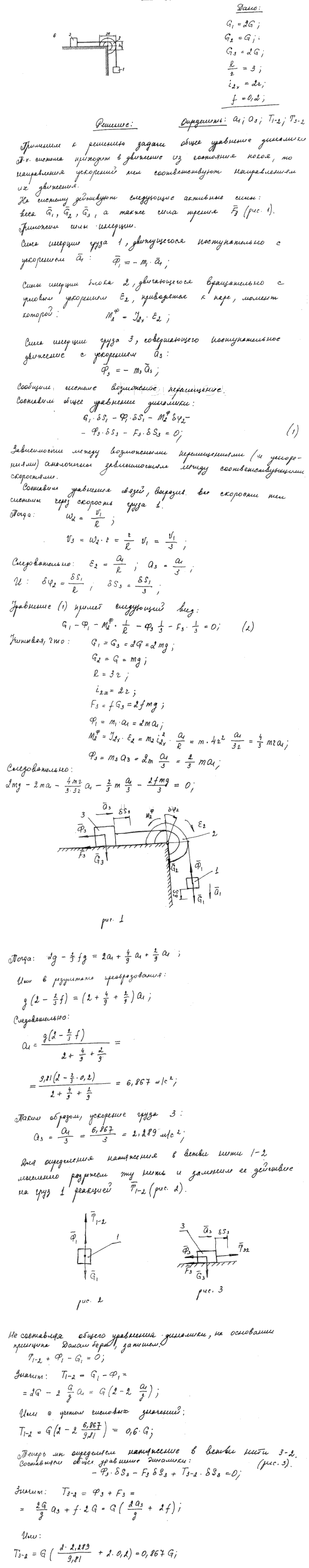
Задание Д.19. Применение общего уравнения динамики к исследованию движения механической системы с одной степенью свободы (к условию задания)

<< Д.19 вариант 5 || Д.19 вариант 7 >>

Решение задачи Д19 В6

Яблонский Д19 вариант 6