Бесплатный решебник Яблонского: Д.20 вариант 11

(Физика → Теоретическая механика → Решебник Яблонского → Аналитическая механика)

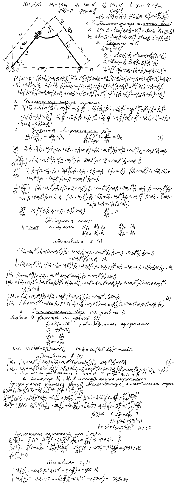
Задание Д.20. Применение уравнений Лагранжа II рода к определению сил и моментов, обеспечивающих программное движение манипулятора (к условию задания)

<< Д.20 вариант 10 || Д.20 вариант 12 >>

Решение задачи Д20 В11

Яблонский Д20 вариант 11