Бесплатный решебник Яблонского: Д.20 вариант 26

(Физика → Теоретическая механика → Решебник Яблонского → Аналитическая механика)

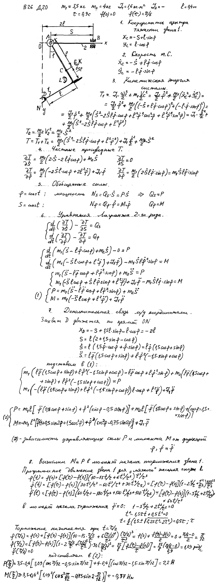
Задание Д.20. Применение уравнений Лагранжа II рода к определению сил и моментов, обеспечивающих программное движение манипулятора (к условию задания)

<< Д.20 вариант 25 || Д.20 вариант 30 >>

Решение задачи Д20 В26

Яблонский Д20 вариант 26