Бесплатный решебник Яблонского: Д.21 вариант 13

(Физика → Теоретическая механика → Решебник Яблонского → Аналитическая механика)

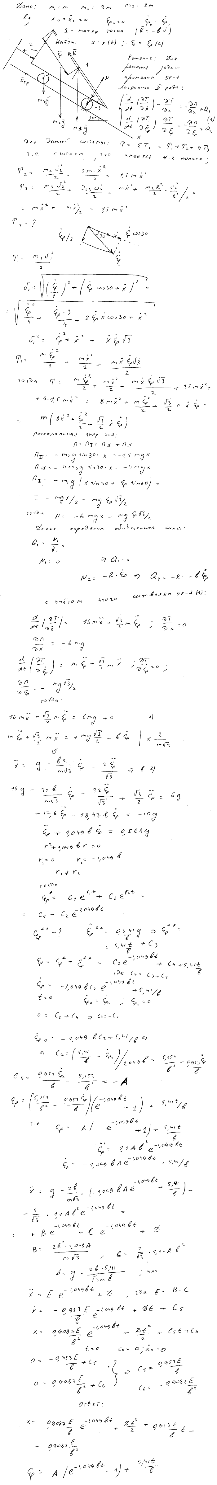
Задание Д.21. Применение уравнений Лагранжа II рода к исследованию движения механической системы с двумя степенями свободы (к условию задания)

<< Д.21 вариант 12 || Д.21 вариант 14 >>

Решение задачи Д21 В13

Яблонский Д21 вариант 13